ชื่อโปรเจกต์: ตัวแก้สมการ 2 มิติ CFD แบบ Finite Difference Implicit สำหรับ Boundary Layer ด้วย Arduino
บทนำและความสำคัญของโปรเจกต์
โปรเจกต์นี้สาธิตการประยุกต์ใช้บอร์ดไมโครคอนโทรลเลอร์ Arduino เพื่อแก้ปัญหาการไหลแบบ 2D (2D Flow Problem) โดยทั่วไป งาน CFD (Computational Fluid Dynamics) ต้องการทรัพยากรคอมพิวเตอร์ประสิทธิภาพสูง อย่างไรก็ตาม ในโปรเจกต์นี้ เราจะท้าทายขีดจำกัดของ Embedded Systems เพื่อดูว่าเราจะสามารถจำลองปรากฏการณ์ทางกายภาพนี้บนบอร์ดขนาดเล็กได้อย่างไร
บอร์ดที่แนะนำคือ Arduino MEGA 2560 เนื่องจากมี SRAM มากกว่าบอร์ดขนาดเล็กอย่าง Uno หรือ Nano หากคุณเลือกบอร์ดที่มีหน่วยความจำน้อยกว่า คุณจะต้องลดจำนวน Grid Points ในการคำนวณลงอย่างมาก ซึ่งจะส่งผลต่อความละเอียดและความแม่นยำของผลลัพธ์
โดยเฉพาะอย่างยิ่ง โค้ดนี้ถูกออกแบบมาเพื่อแก้ปัญหาการไหลแบบ 2D ที่แสดงให้เห็นถึง Boundary Layer Development บน Flat Plate ซึ่งเป็นแนวคิดพื้นฐานในพลศาสตร์ของไหลและอากาศพลศาสตร์

การใช้งานบนบอร์ด Arduino
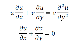
โปรแกรมนี้ได้รับการพัฒนาโดยใช้ C++ บน Arduino IDE โดยคำนึงถึงข้อจำกัดด้านหน่วยความจำสำหรับจัดเก็บข้อมูลของบอร์ดเป็นหลัก สมการพื้นฐานที่ใช้ในการคำนวณสามารถดูได้ในภาพด้านล่าง:

รายละเอียดทางวิศวกรรมและตรรกะของโปรแกรม
การทำให้ไร้มิติ (Non-dimensionalization): สมการ Navier-Stokes ที่ซับซ้อนจะถูกแปลงเป็นตัวแปรไร้มิติ โดยอ้างอิงความเร็วการไหล (Flow Velocity), ความยาวของแผ่น (Length of the plate) และ Reynolds Number ($Re$) ซึ่งช่วยให้โปรแกรมสามารถคำนวณได้โดยไม่ต้องกังวลเกี่ยวกับหน่วยวัดที่แตกต่างกัน และรักษาความเสถียรในการคำนวณในระบบ Floating Point
การทำให้เป็นดิสครีต (Discretization): อัลกอริทึมนี้ใช้ Finite Difference Method เพื่อแปลงสมการเชิงอนุพันธ์ย่อย (Partial Differential Equations) ให้เป็นสมการพีชคณิตที่บอร์ดไมโครคอนโทรลเลอร์สามารถประมวลผลซ้ำ ๆ ได้ (iteratively) มีการใช้เทคนิค Implicit Solver ซึ่งมีข้อดีคือมีความเสถียรเชิงตัวเลขมากกว่าวิธี Explicit แม้จะใช้ Time steps หรือ Grid spacing ที่กว้างขึ้นก็ตาม
เงื่อนไขขอบเขต (Boundary Conditions): โปรแกรมกำหนด No-slip condition ที่ส่วนเชื่อมต่อระหว่างของไหลและ Flat Plate ซึ่งหมายความว่าความเร็วของไหลที่จุดที่อยู่ติดกับแผ่นจะเป็นศูนย์ และจะค่อยๆ เพิ่มขึ้นตามระยะห่างจากแผ่นจนกว่าจะถึง Free stream velocity
การจัดการหน่วยความจำ (Memory Management): เนื่องจาก Arduino MEGA มี SRAM เพียง 8KB การจัดการ Array ของ Grid points จึงต้องใช้ความระมัดระวังเป็นพิเศษ โค้ดจัดการพื้นที่จัดเก็บสำหรับค่าความเร็วแกน X ($u$) และแกน Y ($v$) ได้อย่างมีประสิทธิภาพเท่าที่สถาปัตยกรรม AVR จะเอื้ออำนวย
การแสดงผลลัพธ์
ในการแสดงผล Boundary Layer Development เราจำเป็นต้องมีเครื่องมือเพื่อ Plot ข้อมูลที่ส่งมาจาก Serial Port:
- ไลบรารี: คุณต้องติดตั้งไลบรารี "Plotter.h" ซึ่งสามารถค้นหาและติดตั้งได้โดยตรงผ่าน Library Manager ใน Arduino IDE
- แอปพลิเคชัน Listener: สำหรับการดูผลลัพธ์แบบ Real-time บนคอมพิวเตอร์ คุณต้องดาวน์โหลดแอปพลิเคชันเสริมเพื่อรับข้อมูลจาก Arduino และ Plot กราฟ สามารถดาวน์โหลดได้ที่นี่: Plotting tool (GitHub)
สรุปและข้อสังเกตทางเทคนิค
การเลือกใช้ Arduino MEGA ในโปรเจกต์นี้เป็นการสาธิตที่สำคัญ เพราะแม้ว่า MEGA จะมีหน่วยความจำมากกว่ารุ่นอื่น ๆ แต่เมื่อต้องจัดการกับงาน CFD เราพบว่ามันยังคงมีข้อจำกัดที่ชัดเจนเกี่ยวกับจำนวน Grid points ที่สามารถคำนวณได้ในแต่ละทิศทาง
การรันโปรแกรมประเภทนี้บนบอร์ดไมโครคอนโทรลเลอร์ 8-bit ไม่ใช่วิธีที่ดีที่สุดในแง่ของประสิทธิภาพ แต่เป็นบทเรียนที่ยอดเยี่ยมในการศึกษา Numerical Methods และการจัดการทรัพยากรใน Embedded Systems มันพิสูจน์ให้เห็นว่าด้วยตรรกะที่ถูกต้องและสมการที่ปรับแต่งมาอย่างดี แม้แต่ฮาร์ดแวร์ที่มีพลังประมวลผลจำกัดก็สามารถแก้ปัญหาทางวิศวกรรมที่ซับซ้อนได้ในระดับหนึ่ง